-
抖音
-
视频号
-
微信
公众号
-
联系
我们 -
为了达到最佳的硝化反硝化效率,需运行多个反应器,调节时间空间配比,保证反应的时空同步性。这往往导致反应器数量增加,曝气量也增加。实际上,
为了达到最佳的硝化反硝化效率,需运行多个反应器,调节时间空间配比,保证反应的时空同步性。这往往导致反应器数量增加,曝气量也增加。实际上,
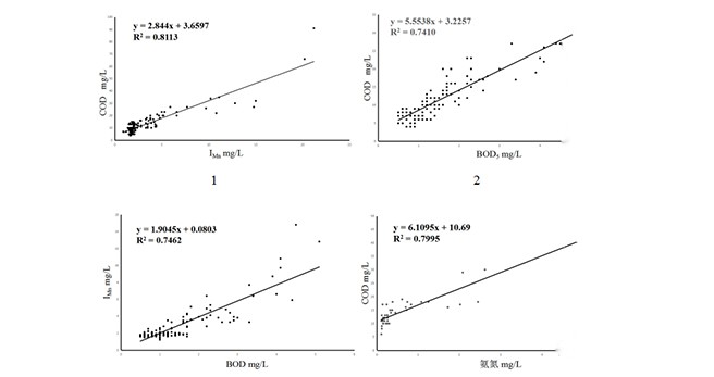
化学需氧量、高锰酸盐指数、生化需氧量、氨氮、总磷、总氮都是地表水环境质量标准基本项目指标,既是判断水域水质的评价标准,判断水质是否适用的尺度,也是水质治理和规划的目标和水质管理的技术基础。在分析水质指标的同时,进一步关注指标之间的内在联系,不仅对环境监测分析的数据审核具有非常重要的指导意义,同样在环...
为什么国家一直以来都倡导使用无磷洗涤用品?这个问题其实要回答起来很简单,国家建议使用无磷洗涤用品的原因就是因为含磷的洗涤用品在使用后随生活废水排入环境会对环境造成危害。但是为什么会造成危害,又是如何危害的?磷是一种常见的元素,元素周期表中坐在第15把交椅,虽然排位不高,但是作用挺大。在人体中,磷是我...
MBR膜生物反应器的特点
大量研究表明,氨氧化菌和亚硝酸盐氧化菌的适宜的pH分别为7.0~8.5和6.0~7.5,当pH值低于6.0或高于9.6时,硝化反应停止。硝化细菌经过一段时间驯化后,可在低pH值(5.5)的条件下进行,但pH值突然降低,则会使硝化反应速度骤降,待pH值升高恢复后,硝化反应也会随之恢复。
(1)由于没有独立的污泥回流系统,从而不能培养出具有独特功能的污泥,难降解物质的降解率较低; (2)若要提高脱氮效率,必须加大内循环比,因而加大运行费用。从外,内循环液来自曝气池,含有一定的DO,使A段难以保持理想的缺氧状态,影响反硝化效果,脱氮率很难达到90% 。